Algebra Liniara Probleme Rezolvate

Algebra liniar a geometrie analitica s i geometrie diferent iala ion vladimirescu florian munteanu universitatea din craiova rom nia.
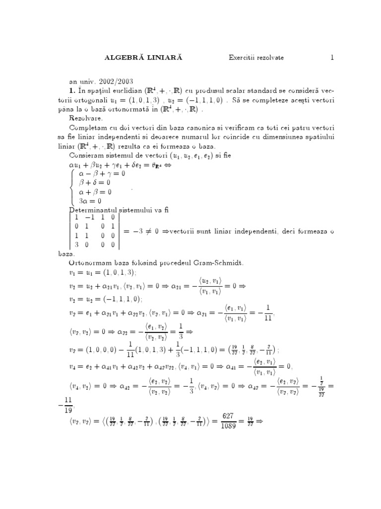
Algebra liniara probleme rezolvate. Spaţiul vectorial ℳm1 k al matricelor coloană se identifică cu km. Partea intreaga si fractionara a unui numar real 20 probleme rezolvate. Capitolul 1 matrice s i sisteme algebrice liniare 1 1 matrice si determinant i 1 1 1 s a se calculeze produsele ab si ba dac a. Cele aproape 200 de probleme împreună cu soluţiile complete sunt structurate pe 6 paragrafe în concordanţă cu structura lucrărilor 4 5.
Algebra liniara anul i facultate spatii vectoriale gasesti materialul complet si multe altele pe www profesorultau ro. Lucrarea se adresează în primul rând studenţilor de la facultăţile de matematică informatică oferind material pentru seminarizarea cursurilor de algebră liniară. Operatii cu numere reale 19 probleme rezolvate. Capitolul i 8 observaţie spaţiul vectorial ℳ11 k se identifică cu k deci k poate fi considerat ca spaţiu vectorial peste el însuşi.
Pop probleme de algebra liniara pentru studenti si concursuri ed. 0256 40 46 77. Matrice s i determinant i 2. 0256 40 46 77.
2 cuprins 7 dreapta si planul 167 7 1 probleme rezolvate. 1 a 2 3 1 1 4 2 b 2 4 1 2 0 2 1 5 3 5. 2 a 2 4 3 2 4 2 2 3 1 0 1 3. Ecuatii de gradul i cu module irationale binome.
Fie matricea a 0 b b 1 1 1 1 1 0 0 0 1 1 c c a. Puteri puteri cu exponent irational 20 probleme rezolvate. Recenzii politica privind recenziile. 06 october cezar lupu.
173 7 2 probleme propuse spre rezolvare. Spinor structures in geometry and physics 2 editions published in in english and held by 24 worldcat member libraries worldwide this book is devoted to investigating the spinor structures in particle physics and in polarization optics. S a se calculeze an. 2b corp c etaj 3 sala c306 timișoara ro 300223.
Spaţiul vectorial ℳ1n k al matricelor linie se identifică cu spaţiul kn.