11 G Amestec De Metanol Si Etanol





Problema Metanol Si Etanol

Problema Metanol Si Etanol

39 G Amestec Echimolecular De Metanol Si Etanol

39 G Amestec Echimolecular De Metanol Si Etanol

Un Amestec De Metanol Si Etanol Are Un Conținut De 12 726 H Procente De Masa Sa Se Calculeze Cat Brainly Ro

Un Amestec De Metanol Si Etanol Are Un Conținut De 12 726 H Procente De Masa Sa Se Calculeze Cat Brainly Ro

Un Amestec Format Din Cate Un Mol De Trei Alcooli Monohidroxilici Saturati Omologi Necesita Pentru Ardere Completa 1512 L De Aer

Un Amestec Format Din Cate Un Mol De Trei Alcooli Monohidroxilici Saturati Omologi Necesita Pentru Ardere Completa 1512 L De Aer

O Cantitate De 53 De G De Amestec Echimolecular

O Cantitate De 53 De G De Amestec Echimolecular

O Proba Cu Masa De 234g Dintr Un Amestec Echimolecular Doc

O Proba Cu Masa De 234g Dintr Un Amestec Echimolecular Doc

O Proba Cu Masa De 234g Dintr Un Amestec Echimolecular Doc

Reactioneaza 1 2 Moli De Alfa Aminoacid Cu 110 4g De Etanol 1

Reactioneaza 1 2 Moli De Alfa Aminoacid Cu 110 4g De Etanol 1

11g Amestec De Metanol Si Etanol Se Ard Cu O2 știind Ca Se Obțin 12 6g De H2o Se Cere A Calculează Brainly Ro

11g Amestec De Metanol Si Etanol Se Ard Cu O2 știind Ca Se Obțin 12 6g De H2o Se Cere A Calculează Brainly Ro

La Esterificarea Acidului Propanoic Cu Metanol

La Esterificarea Acidului Propanoic Cu Metanol

92 G Etanol Se Oxideaza Bland Cu Obţinerea Unui Produs Ce Formează Prin Tratare Cu Reactiv Fehling 214 2

92 G Etanol Se Oxideaza Bland Cu Obţinerea Unui Produs Ce Formează Prin Tratare Cu Reactiv Fehling 214 2

Facultatea De Chimie Concursul Naţional De Chimie Magda

Facultatea De Chimie Concursul Naţional De Chimie Magda

2 Butanol Wikipedia

2 Butanol Wikipedia

1 O Cantitate De 39 G De Amestec Echimolecular De Metanol Si Etanol Se Supun Oxidarii Energice Cu Brainly Ro

1 O Cantitate De 39 G De Amestec Echimolecular De Metanol Si Etanol Se Supun Oxidarii Energice Cu Brainly Ro

Test 1 By Crina Crainic Issuu

Test 1 By Crina Crainic Issuu

Tipuri Probleme

Tipuri Probleme

Stiinţa Si Ingineria Materialelor Vol1 Polyurethane Chemical Substances

Stiinţa Si Ingineria Materialelor Vol1 Polyurethane Chemical Substances

Prin Arderea A 52 8 G Amestec De Metanol Si Etanol Rezulta 61 2 G H2o Afla A Care Este Compozitia Brainly Ro

Prin Arderea A 52 8 G Amestec De Metanol Si Etanol Rezulta 61 2 G H2o Afla A Care Este Compozitia Brainly Ro

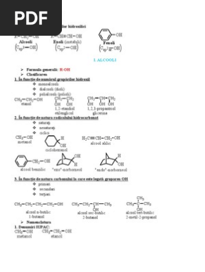
Alcooli Proprietăți Chimice

Alcooli Proprietăți Chimice

Leccion 14 Energia Libre De Gibbs Personalized Items Person Marge

Leccion 14 Energia Libre De Gibbs Personalized Items Person Marge

Exam 25 July 2017 Questions And Answers Analiza Studocu

Exam 25 July 2017 Questions And Answers Analiza Studocu

Source : pinterest.com